力扣链表基础之移除链表元素
题目:给你一个链表的头节点 head 和一个整数
val ,请你删除链表中所有满足 Node.val == val
的节点,并返回 新的头节点 。
找出该数组中满足其和 ≥ target 的长度最小的 连续子数组 [numsl, numsl+1, ..., numsr-1, numsr] ,并返回其长度。如果不存在符合条件的子数组,返回 0 。
示例

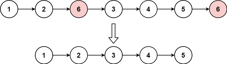
1 | 输入:head = [1,2,6,3,4,5,6], val = 6 |
思路
添加一个虚拟头节点,这样原链表的所有节点都可以按照统一的方式进行移除了。

代码
1 | type ListNode struct { |