力扣链表基础之删除链表的倒数第N个节点
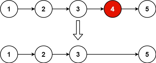
给你一个链表,删除链表的倒数第 n
个结点,并且返回链表的头结点。
示例

1 | 输入:head = [1,2,3,4,5], n = 2 |
思路
使用虚拟头节点。
如果要删除倒数第n个节点,让fast移动n步,然后让fast和slow同时移动,直到fast指向链表末尾。删掉slow所指向的节点就可以了。
实际操作中可以让fast先移动n+1步,然后让fast和slow同时移动,直到fast指向NULL,此时slow恰好指向待删除结点的上一个,此时执行删除结点的操作即可。

代码
1 | // fast先移动n+1步,然后让fast和slow同时移动 |